Che il Sistema Solare non sia quel posto pacifico e tranquillo che pensavano essere i nostri nonni è assodato. Solo la breve durata delle nostre vite ce lo fa sembrare tale. Agli occhi di un Matusalemme il Sole con il suo codazzo di pianeti non sarebbe un posto tranquillo per viverci.
In effetti in orbita attorno al Sole non ci sono solo gli 8 pianeti canonici ma anche milioni di asteroidi e comete. La nostra Terra si sposta nello spazio alla folle velocità di circa 30 km/s (ossia 108.000 km/h) e sul suo cammino può incontrare degli ostacoli. Si tratta degli asteroidi near-Earth (NEA) che, percorrendo le loro orbite eliocentriche, possono arrivare ad una distanza minore di 45 milioni di km dalla Terra, ossia 0,3 Unità Astronomiche. Globalmente questa popolazione di oggetti costituisce un rischio impatto per il nostro pianeta e per minimizzarlo si cerca di scoprirne il maggior numero prima che accada qualche collisione da parte di un NEA ancora sconosciuto. Al momento sono noti quasi 18.000 NEA ma siamo ben lontani dall’averli scoperti tutti. Per fortuna si possono fare delle stime sulla frequenza di impatto con la Terra. Vediamo come.

La distribuzione dei NEA
La popolazione dei NEA è di origine collisionale, ossia è nata in seguito alle collisioni fra gli asteroidi che si sono verificate nella Fascia Principale per miliardi e miliardi di anni. In una collisione fra due corpi solidi di solito si hanno pochi frammenti di grandi dimensioni e una moltitudine di piccoli. Per questo motivo la popolazione dei NEA è costituita da pochi asteroidi di grandi dimensioni e da un numero progressivamente crescente di corpi sempre più piccoli e difficili da scoprire. La distribuzione cumulativa delle dimensioni D dei NEA segue una legge di tipo esponenziale:
![]()
Qua N(≥ D) è il numero di asteroidi con diametro (in km) pari o superiore a D. Ad esempio quanti sono i NEA con diametro pari o superiore al km? Dalla formula precedente si ha N(≥ 1 km) = 942 asteroidi, praticamente tutti quelli scoperti. A mano a mano che si scende con le dimensioni però il numero degli asteroidi cresce sensibilmente.
Per i prossimi anni l’obiettivo delle survey statunitensi dei NEA è scoprire almeno il 95% di tutti gli asteroidi con un diametro pari o superiore a 140 m. Quanti corpi ci si aspetta debbano esistere? Si trova N(≥ 0,14 km) = 96.397 ≈ 100.000 asteroidi! Considerato che ne sono stati scoperti al più 18.000, siamo al 18% circa del lavoro. E non si pensi che un asteroide di 140 m sia piccolo, in realtà è 3 volte superiore alle dimensioni dell’asteroide che ha provocato la famosa catastrofe di Tunguska. Anche se i NEA sono di piccole dimensioni, la collisione con il nostro pianeta avviene a velocità di decine di km/s e sono in grado di rilasciare una energia cinetica da decine a migliaia/milioni di volte superiore alla esplosione atomica di Hiroshima!
La frequenza di collisione con la Terra
Il metodo più semplice per la stima del tempo di collisione medio Terra-NEA è di ricorrere al modello della “particella nella scatola” (particle in a box o PIAB model), ossia assumere che la popolazione di NEA sia tutta uguale e omogeneamente distribuita in un volume V all’interno del quale la Terra di raggio R si possa muovere liberamente con velocità relativa v.

Questo modello viene solitamente impiegato per la descrizione delle collisioni che avvengono fra le molecole di un gas racchiuso in un contenitore. Le assunzioni di base del PIAB model non sono completamente soddisfatte nel caso degli asteroidi. Prima di tutto non esiste un volume ben definito all’interno del quale possono muoversi inoltre, sotto l’effetto della gravità solare e delle perturbazioni planetarie, il moto relativo non è casuale come avviene in un contenitore pieno di gas. In ogni caso, per una stima di ordine di grandezza, è più che adeguato. Nel PIAB model il tempo medio ΔT fra una collisione e l’altra è dato da:

Questa equazione si ottiene imponendo la condizione che il volume spazzato dalla Terra durante il suo moto sia pari al volume medio a disposizione di ciascun NEA. Nella equazione V è il volume di spazio in cui si muovono i NEA, N è il numero di NEA con dimensioni superiori ad una certa soglia, r è il raggio dell’asteroide, b è il raggio gravitazionale della Terra (vale sempre b >> r quindi r si può trascurare rispetto a b), infine v è la velocità relativa media fra la Terra e la popolazione dei NEA.
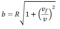
Si usa il raggio gravitazionale della Terra invece del semplice raggio geometrico perché il campo gravitazionale terrestre riesce a catturare anche i NEA che passano ad un certa distanza dal nostro pianeta. Il valore di b si ottiene dalla conservazione dell’energia e del momento angolare ed è dato da:

Nella Eq. precedente vf è la velocità di fuga della Terra (circa 11,2 km/s), mentre R è il raggio medio terrestre di 6371 km. Se si assume una velocità relativa v = 20 km/s fra la Terra e il NEA si trova b = 7.300 km. Quindi un NEA con una velocità relativa di 20 km/s può colpire la Terra anche se geometricamente passerebbe a 929 km dalla superficie del pianeta.
Nel PIAB model il tempo medio di collisione ΔT dipende solo dalla velocità relativa NEA-Terra, dal numero di NEA e dal volume in cui si muovono gli asteroidi. Per una sua valutazione è quindi indispensabile ricavare una stima del volume in cui si trovano i NEA. Se assumiamo che i NEA grosso modo si spostino all’interno di un volume delimitato esternamente dall’orbita di Marte a 1,5 UA, internamente dall’orbita di Venere a 0,7 UA e che si trovino entro ± 0.5 UA dall’eclittica (vedi Figura 3), il volume che occupano è dato grossomodo da:
V=π(1,5 × 1,5 – 0,7 × 0,7) × 1 = 5,5 UA³ = 1,9×10^25 km³

A questo punto, prendendo N = 100.000 (NEA con diametro pari o superiore ai 140 m), v = 20 km/s, b = 7.300 km, V = 1,9 × 10^25 km³, si trova ΔT = 1800 anni. Naturalmente il tempo medio di collisione si abbassa se abbassiamo il diametro minimo dell’asteroide. Se assumiamo D ≥ 50 m (ossia il diametro dell’asteroide responsabile della catastrofe di Tunguska), si trova N = 1.000.000 e ΔT = 180 anni. Una collisione importante, prima o poi, è matematicamente certa.
Conclusioni
Con il semplice modello dell’asteroide nella scatola abbiamo ottenuto una stima del tempo medio di collisione per asteroidi con diametro superiore ad un certo valore di soglia. Non sappiamo quando potrà succedere la prossima collisione di un asteroide con la Terra ma è sicuro che succederà. Per i dinosauri, estinti 65 milioni di anni fa in seguito alla caduta di un asteroide di 10 km di diametro, si è trattato di una catastrofe naturale. Nel nostro caso la posta in gioco è altissima e si tratterà di mancata prevenzione: sarà colpa nostra!
2 pensieri su “Asteroidi nella scatola”