In una recente news apparsa sul blog abbiamo spiegato in che cosa consiste la missione DART e mostrato la prima immagine pubblica del suo target, l’asteroide near-Earth binario (65803) Didymos. In breve, il 26 settembre 2022 alle 23:16 UT la sonda della NASA DART (Double Asteroid Redirection Test), avente una massa di circa 500 kg colpirà, alla velocità relativa di circa 6,6 km/s, il piccolo satellite Dimorphos che orbita attorno a Didymos. Dimorphos ha un diametro di circa 160 metri e impiega circa 12 ore per completare un’orbita attorno a Didymos che si trova a una distanza di circa 1,2 km: lo scopo della collisione è sperimentare per la prima volta la deflessione orbitale di un asteroide per mezzo della tecnica dell’impattore cinetico (ossia privo di testata esplosiva). Questa sperimentazione è necessaria perché permetterà di capire come reagisce un asteroide quando è sottoposto a un impatto iperveloce e potrà essere impiegata in futuro per la deflessione orbitale di eventuali asteroidi near-Earth in rotta di collisione con la Terra. Vediamo più nel dettaglio il “dietro le quinte” di un impatto cinetico.

In generale la mitigazione del rischio di collisione di un asteroide con la Terra per mezzo della tecnica dell’impattore cinetico prevede uno o più impatti ad altissima velocità – in genere superiore a circa 5 km/s – di un veicolo spaziale (“impattore”) sull’asteroide stesso. Questi impatti possono cambiare la velocità dell’asteroide di una piccola quantità, ma sommati insieme tutti i contributi, ne può risultare una nuova orbita in grado di portare l’asteroide a fare solo un passaggio ravvicinato con la Terra (flyby), invece di una collisione diretta. In un certo senso è un po’ come nel gioco del biliardo in cui, con urti successivi, si può mandare una palla in buca.
Considerata l’energia cinetica posseduta da un tipico asteroide near-Earth, il metodo è relativamente semplice ed efficace per NEO con diametri fino a circa mezzo chilometro. Inoltre, a differenza di altri metodi, è alla portata delle capacità tecniche attuali dati i modesti sviluppi di hardware e di software necessari per metterlo in atto. Questo metodo però non è onnipotente e può deflettere dall’orbita eliocentrica originale asteroidi fino a 500 metri di diametro a patto che ci sia un preavviso di diversi anni prima della data di collisione. Questo fa capire quanto sia importante la scoperta preventiva del maggior numero di NEO possibile: maggiore il preavviso più elevate le possibilità di successo.
Nell’approccio dell’impattore cinetico il veicolo spaziale può andare incontro all’asteroide, oppure l’asteroide può “imbattersi” nel veicolo spaziale: quello che conta è solo la velocità relativa dell’impatto. Questa grandezza varia in modo significativo a seconda dell’orbita eliocentrica del NEO ma, a differenza di altri parametri che influenzano questo e altri metodi, di solito l’orbita è conosciuta con sufficiente precisione da poter determinare – a priori – quale sia la traiettoria che deve avere il veicolo spaziale al fine di raggiungere la massima velocità relativa e la direzione da cui deve colpire per massimizzare la variazione della velocità e quindi dell’orbita. Storicamente la prima missione a usare la tecnica dell’impattore cinetico, anche se per scopi scientifici e non al fine della deflessione orbitale, è stata la missione Deep Impact della NASA nel 2006 diretta verso il nucleo della cometa Tempel 1. In questo caso lo scopo della collisione era scavare un cratere da impatto che potesse mostrare quello che si trovava sotto la crosta del nucleo, ma la missione è stata importante perché ha dimostrato che è possibile colpire un corpo di piccole dimensioni in movimento ad elevata velocità nello spazio.
A parte la velocità relativa c’è un altro parametro fisico molto importante e poco conosciuto: l’efficienza nel trasferire la quantità di moto del veicolo spaziale al NEO, quantità di solito indicata con la lettera β dell’alfabeto greco. Se la sonda venisse semplicemente assorbita dal NEO in un urto perfettamente anelastico, la quantità di moto del veicolo spaziale verrebbe trasferita tutta all’asteroide, determinando una variazione di velocità del NEO pari alla velocità relativa dei due divisa per il rapporto tra la massa del NEO e la massa della sonda. L’effetto di variazione della velocità dell’asteroide aumenta se, durante l’impatto, si scava un cratere con conseguente espulsione di materiale nello spazio. In questo caso si aggiunge “l’effetto razzo” del materiale espulso che contribuirà a spostare l’asteroide nella direzione opposta a quella di espulsione. Per questo motivo il parametro β potrebbe essere compreso tra 1 e 10. È probabile che il valore di β aumenti con la velocità relativa, ma questo andamento non è mai stato studiato in dettaglio, inoltre è probabile che il valore di β sia correlato alla densità del NEO: basso (1-2) per NEO molto porosi in grado di assorbire bene l’energia cinetica della sonda e alto (5 o anche superiore) per NEO più densi.
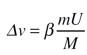
L’efficienza nel cambiare la traiettoria di un NEO non dipende solo da β ma anche dalla forma dell’asteroide, che influenza la direzione dell’espulsione degli ejecta dal cratere e dalla direzione di movimento del veicolo spaziale rispetto alla traiettoria del NEO. Per la conservazione della quantità di moto, la variazione istantanea della velocità di un NEO in seguito a un impatto cinetico è quindi data da:

Dove m e M sono, rispettivamente, le masse dell’impattore e del NEO, U è la velocità relativa infine il fattore β, che tiene conto degli ejecta espulsi nella formazione del cratere, che sarà maggiore o uguale all’unità. Questa equazione, ipotizzando il valore di β può essere utilizzata per determinare la massa di una sonda necessaria per modificare la velocità di un NEO di 1 cm/s in funzione del diametro e della velocità relativa, come mostrato in Fig. 2. La massa richiesta per la sonda aumenta al diminuire del tempo di collisione con la Terra perché la velocità del NEO va cambiata di una quantità sempre più grande considerato che il tempo per la propagazione del cambiamento della posizione nello spazio diminuisce.
Vediamo alcuni esempi pratici cominciando con uno estremo: se il fattore β fosse pari a 10, utilizzando un singolo veicolo spaziale con una massa da 10 tonnellate che impattasse alla velocità relativa di 50 km/s su un NEO di 700 metri di diametro avente una densità media di 3 g/cm3 allora la sua velocità cambierebbe di 1 cm/s. In questo caso sarebbe possibile alterare la velocità anche di un corpo di 1 km di diametro con 3 impatti successivi. Un cambiamento di velocità di 1 cm/s potrebbe sembrare poco rispetto alle velocità eliocentriche dei NEO, tipicamente di 15-20 km/s, ma se si propaga questa variazione 10 anni nel futuro equivale a uno spostamento nello spazio dell’asteroide di 15.000 km, quel tanto che basta a mancare la collisione con la Terra. Un esempio più conservativo, coerente con un NEO poroso, è un fattore β pari all’unità, una densità media di 1,5 g/cm3 e una velocità d’impatto di 5 km/s. In questo caso una sonda con una massa di 10 tonnellate potrebbe cambiare l’orbita di un NEO di 180 metri di diametro quel tanto che basta a evitare la collisione con la Terra. Invece sarebbero necessari 10 impatti in sequenza per un oggetto avente un diametro di 400 metri.
E nel caso di DART come andranno le cose? Il sistema Didymos + Dimorphos probabilmente si è formato per scissione rotazionale da un unico corpo progenitore il cui periodo ha superato la spin-barrier che vale circa 2,2 ore. In effetti il periodo di rotazione di Didymos vale 2,26 ore, molto vicino al valore critico. Se l’asteroide originale si è scisso probabilmente aveva una struttura a rubble pile ossia era formato da blocchi distinti tenuti insieme dalla gravità e dalla forza di coesione della polvere invece cha da un blocco monolitico di roccia. In effetti la densità media stimata per il sistema usando la terza legge di Keplero è di circa 2,2 g/cm3, come ci si può aspettare da un asteroide roccioso con dei vuoti all’interno. Assumendo quindi per β un valore pari a 5, considerato che la sonda ha una massa m = 500 kg, velocità relativa U = 6,6 km/s e che la massa di Dimorphos è M = 4,7 x 109 kg, ci si può aspettare una variazione di velocità del satellite dell’ordine di 0,35 cm/s: un valore piccolo, ma misurabile perché sarà amplificato dalla rapida rotazione di Dimorphos attorno a Didymos: proprio per questo motivo si è scelto di “bombardare” un satellite. Non resta che attendere il 26 settembre per vedere come andrà a finire!
Per che volesse maggiori dettagli sul problema dei NEO e sulle tecniche di deflessione orbitale degli asteroidi consiglio la lettura del libro L’asteroide di Sodoma e Gomorra, disponibile su Amazon.

3 pensieri su “DART e la tecnica dell’impattore cinetico”