Della missione DART e dei suoi scopi abbiamo già scritto abbondantemente sul blog: a partire dalle prime immagini dell’asteroide binario Didymos riprese a luglio (Dart vede Didymos, 9 settembre 2022), per poi proseguire con la fisica dell’impattore cinetico (Dart e la tecnica dell’impattore cinetico, 14 settembre 2022) infine abbiamo commentato le immagini trasmesse dalla sonda fino a pochi istanti prima dell’impatto (Dart impatta Dimorphos, 27 settembre 2022). La “cronaca scientifica” sulla missione DART è proseguita su Media INAF con alcune news sugli effetti degli impatti ripresi dai telescopi spaziali Webb e Hubble, per poi concludersi con l’esposizione dei primi risultati dell’impatto sull’orbita di Dimorphos, diffusi in una storica conferenza stampa della NASA tenutasi l’11 ottobre 2022.

In questa news di approfondimento tecnico vogliamo calcolare la diminuzione del raggio orbitale di Dimorphos e il fattore di amplificazione degli effetti dell’impatto in seguito all’espulsione degli ejecta dalla superficie dell’asteroide. Prima però facciamo un riepilogo degli eventi.
Dopo l’impatto di DART con il satellite di Didymos è stata subito osservata una grande nube di polvere e detriti espulsa nello spazio. La nube è stata ripresa sia dal LICIACube dell’ASI, sia dai telescopi spaziali che da quelli al suolo. Avendo colpito frontalmente il satellite, quindi avendogli fatto perdere energia cinetica, quello che ci si aspettava era una diminuzione del periodo e del raggio orbitale. I dati resi noti dalla NASA, ottenuti analizzando la curva di luce del sistema binario con i telescopi al suolo, ci dicono che il periodo orbitale di Dimorphos attorno a Didymos è diminuito di ben 32 minuti, passando da 11h 55m a 11h 23 m, con un’incertezza di due minuti. Rispetto alla variazione attesa di circa 10 minuti si tratta di un risultato strabiliante. Partendo da questa diminuzione di 32 minuti vogliamo calcolare la diminuzione del raggio orbitale e il valore del fattore di amplificazione β dell’impatto, dovuto all’espulsione degli ejecta dal cratere di impatto su Dimorphos. Di questo numero abbiamo già parlato nell’approfondimento sulla tecnica dell’impattore cinetico (che invito a rileggere): per β = 1 non si ha espulsione di ejecta dal punto d’impatto e la variazione di velocità dell’asteroide è dovuta alla conservazione della quantità di moto. Quindi ci si aspetta β basso (1,5-2) per NEO molto porosi in grado di assorbire bene l’energia cinetica della sonda e alto (5 o anche superiore) per NEO più densi, in cui l’energia cinetica ha un ruolo preponderante nella variazione di velocità dell’asteroide per via dell’espulsione di una grossa quantità di ejecta nello spazio.
Usando la III Legge di Kepler possiamo calcolare, conoscendo il periodo orbitale originale e la sua variazione, di quanto è diminuito il raggio orbitale del satellite che, prima dell’impatto di DART, era di circa 1,19 km. Detto r il raggio orbitale di Dimorphos e P il periodo orbitale, dalla III Legge di Kepler abbiamo la relazione (cost è una costante che non serve conoscere):

Se si esplicita il valore del periodo P, si deriva rispetto a r, si riordina l’equazione ottenuta e si pone P = 11,9167 h (periodo originale) e dP = -0,533 h (variazione misurata del periodo), per la variazione del raggio orbitale si trova:

Quindi il raggio orbitale di Dimorphos, in seguito all’impatto di DART, è diminuito di circa il 3% pari a -35,5 metri. Una quantità che sarebbe difficilmente misurabile, ma che tramite la variazione del periodo orbitale risulta facile stimare. Ora che conosciamo di quanto è diminuito il raggio orbitale possiamo calcolare la reale variazione della velocità orbitale di Dimorphos in seguito all’impatto. Partiamo dalla formula del periodo orbitale per un’orbita circolare percorsa alla velocità costante v (l’orbita originale era quasi circolare con un’eccentricità inferiore a 0,03):

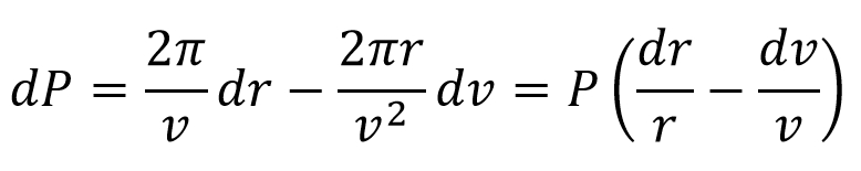
Calcolando il differenziale totale di P e riordinando i membri si trova:

Sostituendo in questa equazione il valore di dP/P trovato dalla III Legge di Kepler si trova le relazione diretta fra dr/r e dv/v, dove dv è la variazione della velocità di Dimorphos mentre v è la velocità orbitale del satellite pari a v = 0,174 m/s:

Sostituendo il valore di dr/r trovato prima con Kepler, risulta che la variazione della velocità è stata dell’1,5% ossia dv = 0,0026 m/s = 0,26 cm/s. Se dv=0,0026 m/s, tenendo conto che la velocità relativa d’impatto di DART su Dimorphos è stata di vp = 6300 m/s, allora si trova questo rapporto fra la variazione della velocità e quella d’impatto:

Giunti a questo punto, dalla formula per β si trova subito:

Qua mp/M è il rapporto fra la massa di DART e quella di Dimorphos, pari a circa 1 decimilionesimo. Come si vede il valore di β per Dimorphos è relativamente alto, superiore alle aspettativa per un asteroide con una probabile struttura a rubble pile. Questo vuol dire che è stata l’energia cinetica della sonda, da cui dipende il diametro del cratere da impatto e la quantità di ejecta espulsi nello spazio, più che la quantità di moto della sonda il fattore determinante per il risultato finale. Quindi per asteroidi tipo Dimorphos non è necessario che l’impattore cinetico abbia una grande massa, è sufficiente che abbia una velocità relativa con il target elevata, in modo da massimizzare la quantità di ejecta espulsi.

L’asteroide Didymos ripreso nella notte fra il 30 e il 31 ottobre 2022: a distanza di un mese dall’impatto di DART la coda di polveri è ancora ben visibile e ha una lunghezza di circa 10.000 km (Crediti: A. Carbognani).
2 pensieri su “Il cambiamento orbitale di Dimorphos”